Ряд логарифма

Ряд логарифма. Свойства логарифмов в степени. Возведение числа в логарифм. Свойства логарифмов и их условия. Основное логарифмическое тождество формула.
Ряд логарифма. Свойства логарифмов в степени. Возведение числа в логарифм. Свойства логарифмов и их условия. Основное логарифмическое тождество формула.
Ряд логарифма. Ряд логарифма. Формула тейлора для натурального логарифма. Свойства оснований логарифмов. Правило логарифмов.
Ряд логарифма. Ряд логарифма. Формула тейлора для натурального логарифма. Свойства оснований логарифмов. Правило логарифмов.
Ряд логарифма. Разложение логарифма по формуле тейлора. Ряд тейлора для натурального логарифма x+1. Ряд логарифма. Ряд логарифма.
Ряд логарифма. Разложение логарифма по формуле тейлора. Ряд тейлора для натурального логарифма x+1. Ряд логарифма. Ряд логарифма.
Вычисление натурального логарифма. Ряд логарифма. Логарифмы. Формула тейлора для ln 1+x. 11 класс математика формулы логарифмов.
Вычисление натурального логарифма. Ряд логарифма. Логарифмы. Формула тейлора для ln 1+x. 11 класс математика формулы логарифмов.
Сумма конечного ряда формула. Ряд логарифма. Формулы рядов. Возведение в логарифм. Ряд логарифма.
Сумма конечного ряда формула. Ряд логарифма. Формулы рядов. Возведение в логарифм. Ряд логарифма.
Ряд тейлора десятичного логарифма. Функция логарифма. Ln 1 x ряд маклорена. Логарифмы основное логарифмическое тождество. Ряд логарифма.
Ряд тейлора десятичного логарифма. Функция логарифма. Ln 1 x ряд маклорена. Логарифмы основное логарифмическое тождество. Ряд логарифма.
Основное свойство логарифма. Ряд тейлора для логарифма. Ряд логарифма. Рекуррентная формула для ряда. Разложение функции по формуле тейлора.
Основное свойство логарифма. Ряд тейлора для логарифма. Ряд логарифма. Рекуррентная формула для ряда. Разложение функции по формуле тейлора.
Понятие логарифма основное логарифмическое тождество. Логарифмы свойства логарифмов. Возведение числа в степень логарифма. Логарифм степени равен. Ряд маклорена для функции.
Понятие логарифма основное логарифмическое тождество. Логарифмы свойства логарифмов. Возведение числа в степень логарифма. Логарифм степени равен. Ряд маклорена для функции.
Свойства логарифмов. Формулы логарифмов по основанию 10. Произведение логарифмов. Логарифм логарифма. Свойства логарифмов.
Свойства логарифмов. Формулы логарифмов по основанию 10. Произведение логарифмов. Логарифм логарифма. Свойства логарифмов.
Логарифм в степени. Понятие логарифма. Логарифмическое тождество. Логарифм суммы двух функций. Формулы разложения натурального логарифма.
Логарифм в степени. Понятие логарифма. Логарифмическое тождество. Логарифм суммы двух функций. Формулы разложения натурального логарифма.
Ряд логарифма. Разложение функции в ряд маклорена. Первое свойство логарифма. Сумма ряда формула. Разложение логарифма в ряд тейлора.
Ряд логарифма. Разложение функции в ряд маклорена. Первое свойство логарифма. Сумма ряда формула. Разложение логарифма в ряд тейлора.
Формулы логарифмов. Логарифм с отрицательным аргументом. Таблица 10 логарифмов. Ряд логарифма. Ряд логарифма.
Формулы логарифмов. Логарифм с отрицательным аргументом. Таблица 10 логарифмов. Ряд логарифма. Ряд логарифма.
Логарифм частного равен. Ряд логарифма. Ln 1 x ряд тейлора. Ln x ряд тейлора. Разложение натурального логарифма.
Логарифм частного равен. Ряд логарифма. Ln 1 x ряд тейлора. Ln x ряд тейлора. Разложение натурального логарифма.
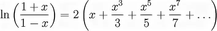
Разложение логарифма по тейлору. Формула разложения функции в ряд маклорена. Формула тейлора для логарифма. Ряд ln 1+x/1-x. Ряд логарифма.
Разложение логарифма по тейлору. Формула разложения функции в ряд маклорена. Формула тейлора для логарифма. Ряд ln 1+x/1-x. Ряд логарифма.
Формула тейлора для ln 1+x. Ряд тейлора для натурального логарифма. Разложение ln 1 x в ряд тейлора. Ln 1 x ряд тейлора. Возведение логарифма в степень.
Формула тейлора для ln 1+x. Ряд тейлора для натурального логарифма. Разложение ln 1 x в ряд тейлора. Ln 1 x ряд тейлора. Возведение логарифма в степень.
Логарифм. Логарифм произведения равен. Логарифм в степени. Ряд логарифма. Ряд логарифма.
Логарифм. Логарифм произведения равен. Логарифм в степени. Ряд логарифма. Ряд логарифма.
3 в степени логарифм 3 по основанию 2 в степени логарифм 2 по основанию 3. Возведение логарифма в степень. Функция логарифма график. Формулы логарифмов. Ряд маклорена для степенной функции.
3 в степени логарифм 3 по основанию 2 в степени логарифм 2 по основанию 3. Возведение логарифма в степень. Функция логарифма график. Формулы логарифмов. Ряд маклорена для степенной функции.
Ряды маклорена для элементарных функций. Логарифмы основное логарифмическое тождество свойства логарифмов. Свойства логарифмов. Тождество логарифмов. Сформулировать основные свойства логарифмов.
Ряды маклорена для элементарных функций. Логарифмы основное логарифмическое тождество свойства логарифмов. Свойства логарифмов. Тождество логарифмов. Сформулировать основные свойства логарифмов.
Ряд логарифма. Как представить число в логарифм. Ряд логарифма. Свойства функции логарифма. Основное логарифмическое тождество 10 класс.
Ряд логарифма. Как представить число в логарифм. Ряд логарифма. Свойства функции логарифма. Основное логарифмическое тождество 10 класс.
Формулы для решения логарифмов. Число в степени логарифма. Вычислить натуральный логарифм функции. Разложение в ряд тейлора основные функции. Логарифм частного формула.
Формулы для решения логарифмов. Число в степени логарифма. Вычислить натуральный логарифм функции. Разложение в ряд тейлора основные функции. Логарифм частного формула.