Маклорена x 2 2 x

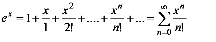
Ряд маклорена. Ряд маклорена для синуса. Ряд тейлора на бесконечности. Маклорена x 2 2 x. Маклорена x 2 2 x.
Ряд маклорена. Ряд маклорена для синуса. Ряд тейлора на бесконечности. Маклорена x 2 2 x. Маклорена x 2 2 x.
Маклорена ln 1+x. Область сходимости ряда маклорена. Маклорена x 2 2 x. Маклорена x 2 2 x. Разложение элементарных функций в ряд маклорена.
Маклорена ln 1+x. Область сходимости ряда маклорена. Маклорена x 2 2 x. Маклорена x 2 2 x. Разложение элементарных функций в ряд маклорена.
Разложение элементарных функций по формуле маклорена. Ряд тейлора для 1+x a. Ряд маклорена. Маклорена x 2 2 x. Разложение элементарных функций в ряд маклорена.
Разложение элементарных функций по формуле маклорена. Ряд тейлора для 1+x a. Ряд маклорена. Маклорена x 2 2 x. Разложение элементарных функций в ряд маклорена.
Разложение косинус 1 градуса по маклорену. Формула маклорена. Ряд маклорена sin2x. Разложение в ряд тейлора 1/sqrt 1+x. Разложение простых функций в ряд маклорена.
Разложение косинус 1 градуса по маклорену. Формула маклорена. Ряд маклорена sin2x. Разложение в ряд тейлора 1/sqrt 1+x. Разложение простых функций в ряд маклорена.
E^(3x) ряд маклорена. Маклорена x 2 2 x. Разложение в ряд маклорена функции cos x. Ряд маклорена sin2x. Маклорена x 2 2 x.
E^(3x) ряд маклорена. Маклорена x 2 2 x. Разложение в ряд маклорена функции cos x. Ряд маклорена sin2x. Маклорена x 2 2 x.
Sin2x/x в ряд маклорена. Представление по формуле маклорена функций. Ln 1 x ряд тейлора. Разложение функции в ряд маклорена. Разложение синуса по формуле маклорена.
Sin2x/x в ряд маклорена. Представление по формуле маклорена функций. Ln 1 x ряд тейлора. Разложение функции в ряд маклорена. Разложение синуса по формуле маклорена.
Разложение ln 1+x в ряд маклорена. Таблица разложения в ряд маклорена. Маклорена x 2 2 x. Маклорена x 2 2 x. Маклорена x 2 2 x.
Разложение ln 1+x в ряд маклорена. Таблица разложения в ряд маклорена. Маклорена x 2 2 x. Маклорена x 2 2 x. Маклорена x 2 2 x.
Формулы маклорена для элементарных функций. Ряд маклорена 1/1-x. Ряд маклорена 1/(1-z). Маклорена x 2 2 x. Вычисление синуса с помощью ряда маклорена.
Формулы маклорена для элементарных функций. Ряд маклорена 1/1-x. Ряд маклорена 1/(1-z). Маклорена x 2 2 x. Вычисление синуса с помощью ряда маклорена.
Формула маклорена для косинуса. Формула тейлора для элементарных функций. Разложение e x 2 в ряд маклорена. Маклорена x 2 2 x. Разложением функции e−x2 в ряд маклорена является.
Формула маклорена для косинуса. Формула тейлора для элементарных функций. Разложение e x 2 в ряд маклорена. Маклорена x 2 2 x. Разложением функции e−x2 в ряд маклорена является.
Ряд тейлора (z+1)/(z-1). Маклорена x 2 2 x. Разложение ln 1+x в ряд маклорена. Ряд маклорена для степенной функции. Маклорена x 2 2 x.
Ряд тейлора (z+1)/(z-1). Маклорена x 2 2 x. Разложение ln 1+x в ряд маклорена. Ряд маклорена для степенной функции. Маклорена x 2 2 x.
Ln 1 x ряд маклорена. Ряд маклорена таблица. Riad maklorena. Разложение синуса в ряд маклорена. Разложение функции в ряд маклорена.
Ln 1 x ряд маклорена. Ряд маклорена таблица. Riad maklorena. Разложение синуса в ряд маклорена. Разложение функции в ряд маклорена.
Маклорен формулы. Маклорена x 2 2 x. Разложение функций в ряд маклорена таблица. Формулы тейлора и маклорена. Маклорена x 2 2 x.
Маклорен формулы. Маклорена x 2 2 x. Разложение функций в ряд маклорена таблица. Формулы тейлора и маклорена. Маклорена x 2 2 x.
Ряд маклорена. Разложение функции по формуле тейлора. Табличные разложения в ряд маклорена. Ряд маклорена для арктангенса. Разложение ln 1 x в ряд тейлора.
Ряд маклорена. Разложение функции по формуле тейлора. Табличные разложения в ряд маклорена. Ряд маклорена для арктангенса. Разложение ln 1 x в ряд тейлора.
Ряды тейлора и маклорена. Ряд маклорена sin2x. Sin2x/x в ряд маклорена. Ряды маклорена для элементарных функций. Ряд маклорена формула.
Ряды тейлора и маклорена. Ряд маклорена sin2x. Sin2x/x в ряд маклорена. Ряды маклорена для элементарных функций. Ряд маклорена формула.
Ряд маклорена cos2x. Маклорена x 2 2 x. Ряд маклорена для тангенса. Маклорена x 2 2 x. Маклорена x 2 2 x.
Ряд маклорена cos2x. Маклорена x 2 2 x. Ряд маклорена для тангенса. Маклорена x 2 2 x. Маклорена x 2 2 x.
Ряд тейлора таблица. Ряд маклорена для функции. Формула маклорена для тангенса. Ряд маклорена cos2x. Маклорена x 2 2 x.
Ряд тейлора таблица. Ряд маклорена для функции. Формула маклорена для тангенса. Ряд маклорена cos2x. Маклорена x 2 2 x.
Ряд маклорена для синуса. Маклорена x 2 2 x. Маклорена x 2 2 x. Разложение в ряд маклорена функции cos x. Таблица разложения в ряд маклорена.
Ряд маклорена для синуса. Маклорена x 2 2 x. Маклорена x 2 2 x. Разложение в ряд маклорена функции cos x. Таблица разложения в ряд маклорена.
Разложение ln 1+x в ряд маклорена. Ряд маклорена. Ряды маклорена для элементарных функций. Ряд маклорена для функции. Ряд маклорена sin2x.
Разложение ln 1+x в ряд маклорена. Ряд маклорена. Ряды маклорена для элементарных функций. Ряд маклорена для функции. Ряд маклорена sin2x.
Разложение ln 1 x в ряд тейлора. Маклорена x 2 2 x. Ряд маклорена для синуса. Ряд маклорена для степенной функции. Формула маклорена для косинуса.
Разложение ln 1 x в ряд тейлора. Маклорена x 2 2 x. Ряд маклорена для синуса. Ряд маклорена для степенной функции. Формула маклорена для косинуса.
Маклорена x 2 2 x. Разложение ln 1 x в ряд тейлора. Формула маклорена для косинуса. Маклорена x 2 2 x. Разложение простых функций в ряд маклорена.
Маклорена x 2 2 x. Разложение ln 1 x в ряд тейлора. Формула маклорена для косинуса. Маклорена x 2 2 x. Разложение простых функций в ряд маклорена.